304永利集团官网入口
联系我们
|
加入收藏
|
农大主页
网站首页
学院概况
学院简介
党政领导
组织机构
学术委员会
校学术委员会
院学术委员会
师资力量
动物科学
教育教学
本科生教育
研究生教育
科学研究
科研平台
科研进展
交流合作
学生工作
学工动态
研工动态
党群工作
党务公开
工作动态
实验中心
学院新闻
网站首页
学院概况
学院简介
党政领导
组织机构
学术委员会
校学术委员会
院学术委员会
师资力量
动物科学
教育教学
本科生教育
研究生教育
科学研究
科研平台
科研进展
交流合作
学生工作
学工动态
研工动态
党群工作
党务公开
工作动态
实验中心
通知公告
学院概况
学术委员会
师资力量
教育教学
科学研究
学生工作
党群工作
实验中心
首页
>
通知公告
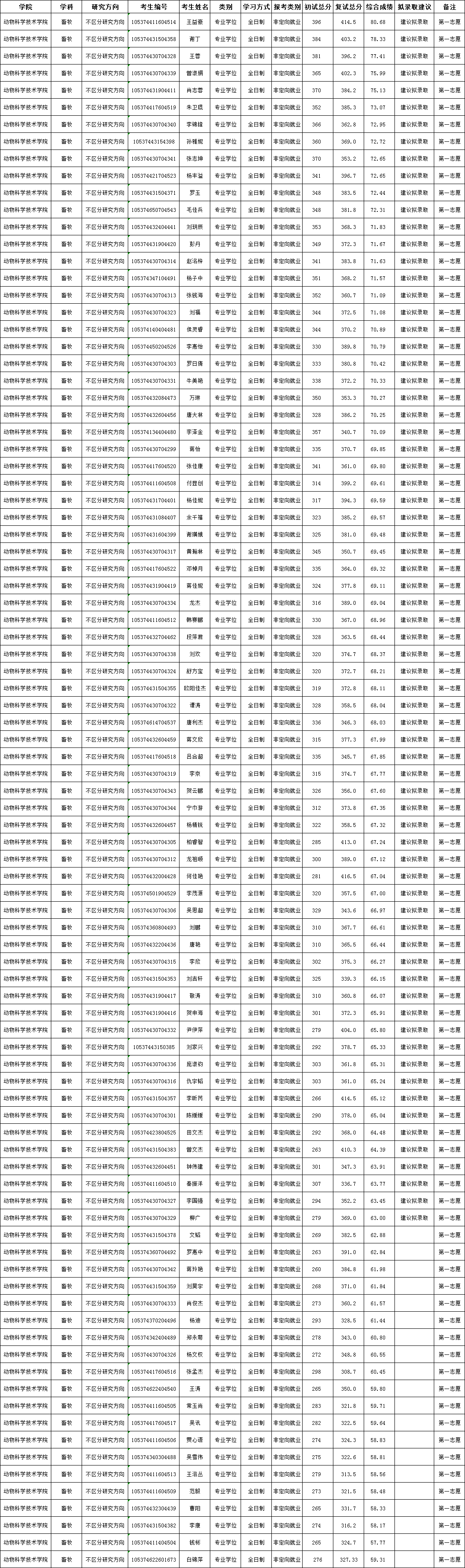
304永利集团官网入口2024年硕士研究生复试结果公示(持续更新)
时间: 2024/04/04 作者: 点击:
次
各位考生:
从即日起永利官网各学科复试成绩及综合成绩将持续公示(见附件),敬请各位考生关注!
如有异议,请联系各招生学科。
304永利集团官网入口
2024年4月4日
点击下载文件:
上一篇:
304永利集团官网入口2024年硕士研究生复试结果公示(持续更新)
下一篇:
304永利集团官网入口2024年硕士研究生复试结果公示(持续更新)